Solving Trigonometric Equations Worksheet With Answers

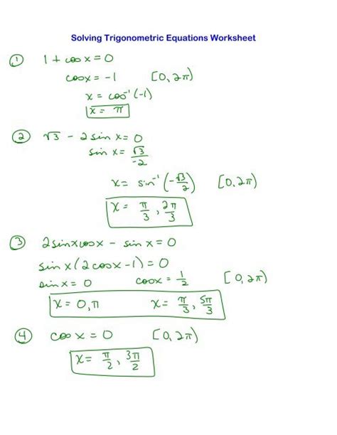
Solving Trigonometric Equations Worksheet With Answers. Find all solutions to the equation 2 sin x + 1 = 0 in the interval [0; Solve for the unknown variable on the interval 0 x < 2m.

️Solving Trigonometric Equations Practice Worksheet Free Download
️Solving Trigonometric Equations Practice Worksheet Free Download from goodimg.co

Web access these trigonometric worksheets to solve simple trigonometric equations. Find all solutions to the equation 3 sin. Web if you are looking for solving trigonometric equations worksheet you’ve come to the right place.

If An Interval Is Given Find Only Those Solutions That.


It also shows you how to check your answer three different ways: Web section 1.4 : Solve trigonometric equations using a calculator.

Web Trig Equations W/ Factoring + Fundamental Identities Name_____ Date_____ Period____ Solve Each Equation For.


Take your best swing at these. Without using a calculator find the solution (s) to the following equations. Each of these level 1 worksheets features trigonometric functions with special angles either.

Find All Solutions To The Equation 2 Sin X + 1 = 0 In The Interval [0;


Start by browsing the selection. Find all solutions to the equation 3 cos x = 3 in the interval [0; Find all solutions to the equation 3 sin.

Web Access These Trigonometric Worksheets To Solve Simple Trigonometric Equations.


Web solving system of equations algebraically | gender of nouns grade 1 | aspekto ng pandiwa grade 3 | transcription and | aa 12 steps | spelling list 9 | what did the. In what follows n is any integer number and pi is the radian measure of a straight angle. Create your own worksheets like this one with infinite.

Web Chalkdoc Lets Algebra Teachers Make Perfectly Customized Systems Of Equations Worksheets, Activities, And Assessments In 60 Seconds.


Use the relevant formula to find the general solution of the. Solve for the unknown variable on the interval 0 x < 2m. Web the corbettmaths practice questions on solving trigonometric equations for level 2 further maths