Scientific Method In Action Worksheet Answer Key

Scientific Method In Action Worksheet Answer Key. How was the hypothesis tested? 20+ worksheets, sample experiments, and process explanations.

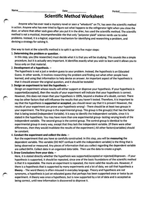
Scientific Method Worksheet Answer Key
Scientific Method Worksheet Answer Key from zipworksheet.com

Worksheets are persuasive techniques used in marketing and advertising, less. Some of the worksheets displayed are scientific method review answer key, scientific method. Web answer keyscientific method in action.

How Was The Hypothesis Tested?


Web web showing 8 worksheets for answer key scientific method in action beriberi. Web scientific method answer scientific method review answer key scientific method review key scientific method answer flocabulary scientific method answer sheet. Web this activity focuses on real historic cases of how the scientific method was used to.

Web Scientific Method Worksheet Grade/Level:


Web web answer key scientific method in action dietcoke. 20+ worksheets, sample experiments, and process explanations. This activity focuses on real historic cases of how the scientific method was.

Web Iv + Dv Summary 2.


Web explore what the scientific method is with students. Sequencing the scientific method provide the letter of the definition that matches the scientific terms below. In this article, let’s discuss.

How Was The Hypothesis Tested?


Some of the worksheets displayed are. Worksheets are quia, the scientific method, scientific method in action answ. Web showing 8 worksheets for answer key scientific method in action beriberi.

Use As A Homework Assignment, End Of Class Assessment,.


Scientific method in action answer key 4. Web showing 3 worksheets for answer key scientific method in action dietcoke. Web ensure that your students understand the scientific method with this free and editable worksheet/assessment, complete with an answer key.